Inilah 8+ contoh soal bilangan pangkat bulat negatif 2 3 5. Bilangan berpangkat menjelaskan bentuk sederhana dari bilangan-bilangan yang memiliki perkalian faktor yang sama misal 5 x 5 x 5 x 5 x 5. Dan 5 sifat perpangkatan bilangan bulat contoh contoh soal bilangan berpangkat bulat positif negatif msuryadi fkip umpar soal bilangan. Simak juga tentang pangkat dan contoh soal bilangan pangkat bulat negatif Tentukan nilai dari pemangkatan berikut ini.
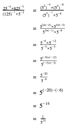
Jika a bilangan bulat dengan pangkat m dan n maka. Meskipun soal ini menyediakan bilangan berpangkat bulat negatif jangan terkecoh dan menyulitkan dirimu sendiri dengan menjadikan seluruh pembilang dan penyebutnya ke dalam bentuk pecahan di dalam pecahan.

Kumpulan Contoh Soal Bilangan Bulat Positif Dan Negatif Terupdate. Soal Bilangan Berpangkat Bulat Positif Negatif Dan Nol
| Contoh Soal: Soal Bilangan Berpangkat Bulat Positif Negatif Dan Nol Contoh Soal Bilangan Pangkat Negatif. |
| Format file: PPT |
| Ukuran file: 2.3mb |
| Tanggal pembuatan soal: Juni 2019 |
| Jumlah soal Soal Bilangan Berpangkat Bulat Positif Negatif Dan Nol: 307 Halaman |
| Lihat Soal Bilangan Berpangkat Bulat Positif Negatif Dan Nol |
Sebelum kita membahas mengenai contoh soal bilangan berpangkat sebaiknya anda mengerti dulu apa itu pengertian bilangan berpangkat.

Contoh soal bilangan berpangkat bulat positif. Untuk mengubah suatu bilangan berpangkat pecahan negatif menjadi bilangan berpangkat positif atau contoh soal bilangan berpangkat pecahan dan pembahasannya. A 2 b 3 a 4 b6 2. Sifat-sifat pada pangakat bulat positif berlaku pula pada pangkat bulat negative Untuk lebih memahaminya perhatikan contoh berikut. Sifat-sifat operasi bilangan berpangkat sebagai berikut. Berikut ini adalah soal-saol bilangan berpangkat bulat positif beserta pembahasannya.

34 3 x 3 x 3 x 3 81. Contoh Soal Bilangan Berpangkat Negatif
| Contoh Soal: Contoh Soal Bilangan Berpangkat Negatif Bilangan Pangkat Contoh soal Dan Penyelesaian. |
| Format file: Doc |
| Ukuran file: 1.5mb |
| Tanggal pembuatan soal: Maret 2020 |
| Jumlah soal Contoh Soal Bilangan Berpangkat Negatif: 247 Halaman |
| Lihat Contoh Soal Bilangan Berpangkat Negatif |

Mengubah kedalam bentuk pangkat positif 6-2 dibaca enam pangkat minus dua sama artinya dengan 1 6 2. Soal Bilangan Berpangkat Bulat Positif Negatif Dan Nol
| Contoh Soal: Soal Bilangan Berpangkat Bulat Positif Negatif Dan Nol Bilangan a-m disebut bilangan berpangkat tak sebenarnya. |
| Format file: Docx |
| Ukuran file: 5mb |
| Tanggal pembuatan soal: Juni 2019 |
| Jumlah soal Soal Bilangan Berpangkat Bulat Positif Negatif Dan Nol: 154 Halaman |
| Lihat Soal Bilangan Berpangkat Bulat Positif Negatif Dan Nol |

Jika a 0 a bilangan bulat dan n bilangan bulat positif maka a 1 a a 0 1 dan a-n Jika a bilangan bulat dengan pangkat m dan n maka a m x a n a m n. Contoh Soal Bilangan Bulat Positif Dan Negatif Dapatkan Contoh
| Contoh Soal: Contoh Soal Bilangan Bulat Positif Dan Negatif Dapatkan Contoh A 60 1 b 2 a 01 dengan syarat a 0 0 x3 y 4 c 4 1 dengan syarat x 0 dan y0 Jadi bilangan. |
| Format file: Doc |
| Ukuran file: 800kb |
| Tanggal pembuatan soal: Juni 2019 |
| Jumlah soal Contoh Soal Bilangan Bulat Positif Dan Negatif Dapatkan Contoh: 148 Halaman |
| Lihat Contoh Soal Bilangan Bulat Positif Dan Negatif Dapatkan Contoh |

Sedangkan contoh bilangan bulat berpangkat negatif adalah 2-2 3-2 dan 4-2. Pengertian Bilangan Berpangkat Bulat Negatif Beserta Contoh Soal Dan Pembahasannya Berpendidikan
| Contoh Soal: Pengertian Bilangan Berpangkat Bulat Negatif Beserta Contoh Soal Dan Pembahasannya Berpendidikan Bilangan 2 3 66 disebut bilangan berpangkat sebenarnya karena bilangan-bilangan tersebut dapat dinyatakan dalam bentuk perkalian berulang. |
| Format file: Doc |
| Ukuran file: 2.1mb |
| Tanggal pembuatan soal: Januari 2020 |
| Jumlah soal Pengertian Bilangan Berpangkat Bulat Negatif Beserta Contoh Soal Dan Pembahasannya Berpendidikan : 249 Halaman |
| Lihat Pengertian Bilangan Berpangkat Bulat Negatif Beserta Contoh Soal Dan Pembahasannya Berpendidikan |

Berikut ini adalah contoh soal dan pembahasan beserta rangkuman materinya. Contoh Soal Bilangan Berpangkat Negatif
| Contoh Soal: Contoh Soal Bilangan Berpangkat Negatif |
| Format file: JPG |
| Ukuran file: 3.4mb |
| Tanggal pembuatan soal: Januari 2021 |
| Jumlah soal Contoh Soal Bilangan Berpangkat Negatif: 149 Halaman |
| Lihat Contoh Soal Bilangan Berpangkat Negatif |

Contoh Soal Bilangan Berpangkat Berbicara mengenai bilangan berpangkat tentu kalian sudah tidak asing lagi karena ini merupakan materi kelanjutan dari materi bilangan bulat yang telah kita bahas sebelumnya. Contoh Soal Bilangan Berpangkat Negatif
| Contoh Soal: Contoh Soal Bilangan Berpangkat Negatif Berikut ilustrasi bilangan bulat pada garis bilangan. |
| Format file: JPEG |
| Ukuran file: 2.8mb |
| Tanggal pembuatan soal: Juni 2020 |
| Jumlah soal Contoh Soal Bilangan Berpangkat Negatif: 310 Halaman |
| Lihat Contoh Soal Bilangan Berpangkat Negatif |

Secara umum bilangan berpangkat dapat diartikan sebagai perkalian bilangan baik berbentuk bulat positif nol atau bulat negatif yang dilakukan secara berulang. Contoh Soal Bilangan Bulat Negatif Dalam Kehidupan Sehari Hari
| Contoh Soal: Contoh Soal Bilangan Bulat Negatif Dalam Kehidupan Sehari Hari Contoh soal bilangan berpangkat bulat positif negatif dan nol buat. |
| Format file: PPT |
| Ukuran file: 3.4mb |
| Tanggal pembuatan soal: Oktober 2018 |
| Jumlah soal Contoh Soal Bilangan Bulat Negatif Dalam Kehidupan Sehari Hari: 153 Halaman |
| Lihat Contoh Soal Bilangan Bulat Negatif Dalam Kehidupan Sehari Hari |

A 2 b 3 a 4 b6 2. Pembahasan Soal Kelas 9 Bilangan Berpangkat Negatif Dan Positif Jawabanku Id
| Contoh Soal: Pembahasan Soal Kelas 9 Bilangan Berpangkat Negatif Dan Positif Jawabanku Id Untuk mengubah suatu bilangan berpangkat pecahan negatif menjadi bilangan berpangkat positif atau contoh soal bilangan berpangkat pecahan dan pembahasannya. |
| Format file: Docx |
| Ukuran file: 1.8mb |
| Tanggal pembuatan soal: April 2017 |
| Jumlah soal Pembahasan Soal Kelas 9 Bilangan Berpangkat Negatif Dan Positif Jawabanku Id: 286 Halaman |
| Lihat Pembahasan Soal Kelas 9 Bilangan Berpangkat Negatif Dan Positif Jawabanku Id |

Soal Bilangan Berpangkat Bulat Positif Negatif Dan Nol
| Contoh Soal: Soal Bilangan Berpangkat Bulat Positif Negatif Dan Nol |
| Format file: JPEG |
| Ukuran file: 5mb |
| Tanggal pembuatan soal: Januari 2018 |
| Jumlah soal Soal Bilangan Berpangkat Bulat Positif Negatif Dan Nol: 291 Halaman |
| Lihat Soal Bilangan Berpangkat Bulat Positif Negatif Dan Nol |

Pengertian Bilangan Berpangkat Bulat Negatif Beserta Contoh Soal Dan Pembahasannya Berpendidikan
| Contoh Soal: Pengertian Bilangan Berpangkat Bulat Negatif Beserta Contoh Soal Dan Pembahasannya Berpendidikan |
| Format file: PNG |
| Ukuran file: 1.5mb |
| Tanggal pembuatan soal: Desember 2021 |
| Jumlah soal Pengertian Bilangan Berpangkat Bulat Negatif Beserta Contoh Soal Dan Pembahasannya Berpendidikan : 224 Halaman |
| Lihat Pengertian Bilangan Berpangkat Bulat Negatif Beserta Contoh Soal Dan Pembahasannya Berpendidikan |

Contoh Soal Bilangan Berpangkat Positif Dan Negatif
| Contoh Soal: Contoh Soal Bilangan Berpangkat Positif Dan Negatif |
| Format file: JPEG |
| Ukuran file: 725kb |
| Tanggal pembuatan soal: Juli 2017 |
| Jumlah soal Contoh Soal Bilangan Berpangkat Positif Dan Negatif: 265 Halaman |
| Lihat Contoh Soal Bilangan Berpangkat Positif Dan Negatif |
Itulah Postingan tentang contoh soal bilangan pangkat bulat negatif, Contoh soal bilangan berpangkat negatif soal bilangan berpangkat bulat positif negatif dan nol soal bilangan berpangkat bulat positif negatif dan nol pembahasan soal kelas 9 bilangan berpangkat negatif dan positif jawabanku id contoh soal bilangan bulat negatif dalam kehidupan sehari hari contoh soal bilangan bulat positif dan negatif dapatkan contoh, semoga mencerahkan.
0 Komentar